์ฐ๋ฆฌ๊ฐ ์ง๋ ์๊ฐ์ ์์๋ณธ ๋ฐ์ดํฐ๋ฒ ์ด์ค ์ค๊ณ - ๊ฐ๋ ์ ์ค๊ณ ์์ ๋ค์ํ ๊ฐ๋ ์ ์ค๊ณ์ ๊ฐ๋ ์ ๋ํด์ ์์๋ณด์์ง๋ง ์ ์ ์ค์ํ ERD๋ ๋ค๋ฃจ์ง ์์๋ค.
๊ทธ ์ด์ ๋ ์๋ ๋ง์ ๋ถ๋์ด๊ธฐ๋ ํ๋ฉฐ ๊ฐ์ฅ ์ค์ํ๊ณ ์ ์ฐ์ด๋ ๊ฒ์ด๊ธฐ ๋๋ฌธ์ ๋ฐ๋ก ํ๋์ ๊ฒ์๋ฌผ๋ก ๋นผ๋์๋ค.
๋ง์ฝ ๊ฐ๋ ์ ์ค๊ณ์ ๋ํด์ ์กฐ๊ธ ๋ถ์กฑํ๋ค๋ฉด ๋ฐ์ดํฐ๋ฒ ์ด์ค ์ค๊ณ - ๊ฐ๋ ์ ์ค๊ณ ํํธ๋ฅผ ํ ๋ฒ ๊ฐ๋ณ๊ฒ ์ฝ๊ณ ์ค๋ ๊ฒ์ ์ถ์ฒํ๋ค.
ERD
Entity-Relation Daigram์ผ๋ก ์ํฐํฐ์ ๊ด๊ณ์ ๋ํด ์ฝ๊ฒ ์์ฑํ ๊ฒ์ ๋ปํ๊ฒ ๋๋ค.
๋ญ ์ ๋ณด ์ฒ๋ฆฌ ๊ธฐ์ฌ๋ผ๋์ง ์ฌ๋ฌ ์ํ์ ๋์ฌ ๋๋ Peter Chan์ด๋ผ๋ ๋ถ์ด ๋ง๋ค์๋ค ๋ผ๋ ์ด์ผ๊ธฐ๊ฐ ๋์ค๋ฉด ๋ฐ๋ก ERD๋ฅผ ์๊ฐํ๋ ๊ทธ ERD๋ฅผ ์ค๋ ํ ๋ฒ ํํค์ณ๋ณด์.
ERD์ ๊ตฌ์ฑ ์์
ERD๋ ๊ฐ๋ ์ ์ค๊ณ์ ๊ฒฐ๊ณผ ๋ต๊ฒ ๊ฐ๋ ์ ์ค๊ณ์ ๋ชจ๋ ์์๊ฐ ๋ค์ด๊ฐ๋ค.
- ์ํฐํฐ
- ์์ฑ
- ๊ด๊ณ
์ํฐํฐ

์์ฑ

๊ด๊ณ

๊ณผ ๊ฐ์ 3 ์์๋ก ๋ํ๋ผ ์ ์๊ณ
ํ์ค ERD ๊ธฐํธ๋ ๋ค์๊ณผ ๊ฐ๋ค.

ERD ๋ง๋ค๊ธฐ
๋ฐฑ๋ฌธ์ด ๋ถ์ฌ์ผํ. ๋ฐฑ๋ฒ ๋ณด๋ ๊ฒ ๋ณด๋ค ์ง์ ํด๋ณด๋ ๊ฒ์ด ๋ซ๋ค. ์ง์ ํ ๋ฒ ERD๋ฅผ ๋ง๋๋ ์ค์ต์ ํด๋ณด์.
๋ฌธ์ ์ํฉ
|
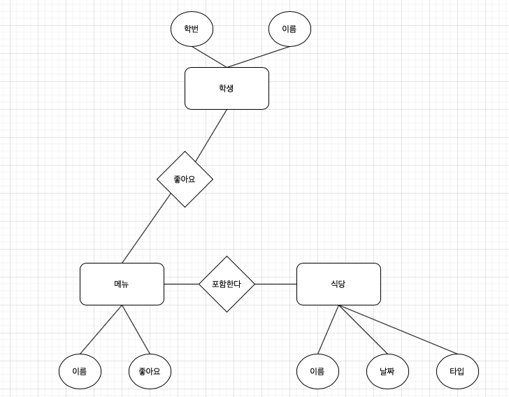
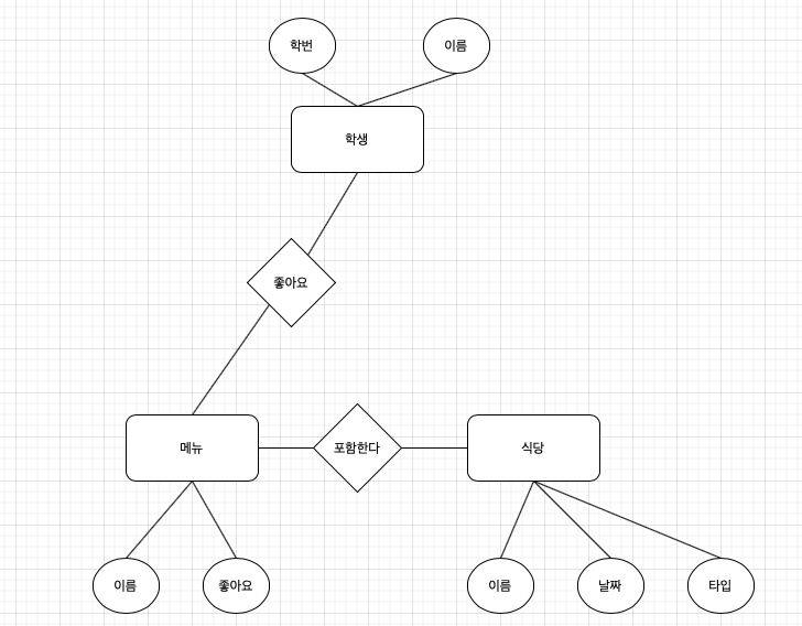
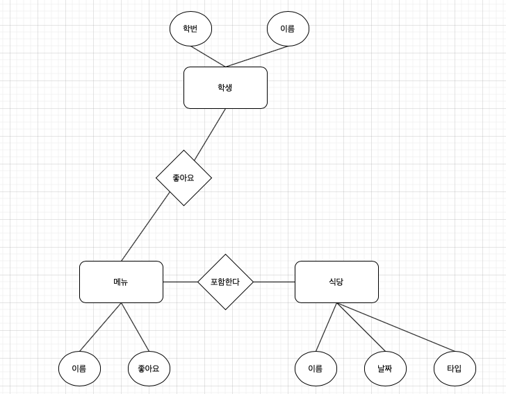
ํ์ ์์ฝ ์์คํ ์ ๋ง๋ค๊ณ ์ถ๋ค. ํ์ ์์ฝ ์์คํ ์ ๋ค์๊ณผ ๊ฐ๋ค. ํ์์ ํ๋ฒ๊ณผ ์ด๋ฆ, ํ๊ณผ๋ก ๋ํ๋ธ๋ค. ํ์์ ์๋น ์ด๋ฆ๊ณผ ๋ฉ๋ด, ๋ ์ง, ์ ๊ณต ํ์ ์ผ๋ก ๋ํ๋ ๋๋ค. ๋ฉ๋ด๋ ๋ฉ๋ด ์ด๋ฆ๊ณผ ๋ฉ๋ด ์ ํธ๋๋ฅผ ์ ์ ์๋ ์ข์์ ์๋ฅผ ๊ฐ์ต๋๋ค. |
์ด๋ฌํ ์๊ตฌ ์ฌํญ ๊ธฐ์ ์๊ฐ ์๋ค๊ณ ๊ฐ์ ํ์ ๋ ๊ฐ๋ ์ ์ค๊ณ์ ์์น์ ๋ฐ๋ผ์ ์ํฐํฐ์ ์์ฑ, ๊ด๊ณ์ ๋ํด์ ๋ถ๋ฅํด๋ณด์.
|
ํ์ ์์ฝ ์์คํ ์ ๋ง๋ค๊ณ ์ถ๋ค. ํ์ ์์ฝ ์์คํ ์ ๋ค์๊ณผ ๊ฐ๋ค. ํ์์ ํ๋ฒ๊ณผ ์ด๋ฆ, ํ๊ณผ๋ก ๋ํ๋ธ๋ค. ํ์์ ์๋น ์ด๋ฆ๊ณผ ๋ฉ๋ด, ๋ ์ง, ์ ๊ณต ํ์ ์ผ๋ก ๋ํ๋ ๋๋ค. ๋ฉ๋ด๋ ๋ฉ๋ด ์ด๋ฆ๊ณผ ๋ฉ๋ด ์ ํธ๋๋ฅผ ์ ์ ์๋ ์ข์์ ์๋ฅผ ๊ฐ์ต๋๋ค. |
์ด๋ฐ ๋ถ์์ด ์๋ฃ๋์๋ค๋ฉด ์ด์ ๋๋์ด ERD์ ํ์ ์ ๋๋ ์ ์๋ค.
| ์ํฐํฐ | ํ์, ํ์, ๋ฉ๋ด |
| ์์ฑ | ์ด๋ฆ, ํ๊ณผ, ์๋น ์ด๋ฆ, ๋ฉ๋ด, ๋ ์ง, ์ ๊ณต ํ์ , ๋ฉ๋ด ์ด๋ฆ,์ ํธ๋ |
| ๊ด๊ณ | ๋ฉ๋ด-ํ์(ํฌํจํ๋ค), ํ์-๋ฉ๋ด(์ข์์) |
๊ทธ๋ผ ๋จผ์ ์ํฐํฐ์ ๋ฐ๋ฅธ์์ฑ์ ๊ทธ๋ ค๋ณด์.

์ด๋ ๊ฒ ์ธ ๊ฐ์ ์ํฐํฐ๊ฐ ๊ทธ๋ ค์ก๋ค.
์ด์ ๊ด๊ณ๋ฅผ ์ถ๊ฐ์์ผ๋ณด์. ๊ด๊ณ๋ ์ข์์์ ํฌํจํ๋ค๋ง ์ถ๊ฐ์ํค๋ฉด ๋๋ค.

๊ทธ๋ฆฌ๊ณ ๋ง์ง๋ง์ผ๋ก ์์ฑ๋ค๋ง ์ถ๊ฐ์์ผ์ค๋ค๋ฉด ERD๋ ๊ฑฐ์ ์์ฑ ๋์๋ค๊ณ ํ ์ ์๋ค.

์ด์ ๋ง์ง๋ง ๋จ์ ๊ด๊ณ์ ๋ํด์ ์์๋ณด์.
๊ด๊ณ
๊ด๊ณ๋ ์์ ๊ฒ์๋ฌผ์์ ๋ง ํ๋ฏ์ด 3๊ฐ์ง์ ๊ด๊ณ๊ฐ ์กด์ฌํ๋ค.
- ์ผ๋์ผ
- ์ผ๋๋ค
- ๋ค๋๋ค
์ด ๊ฒ์ ๊ทธ๋ฆผ์ผ๋ก ํํํ์๋ฉด

์ด ๊ด๊ณ๋ฅผ ERD์์ ํํํ๊ณ ์ ํ๋ค๋ฉด ์๋์ ๊ฐ์ด ์ฌ์ฉํ ์ ์๋ค.

๋๊ธ